337s for N4524P
Vernier throttle:
Page 1
,
Page 2
.
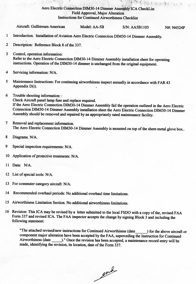
Electronic lamp dimmer (Aero Electric Connection
DM30-14)
Page 1
,
Page 2
,
Continuing Airworthiness Instructions
.
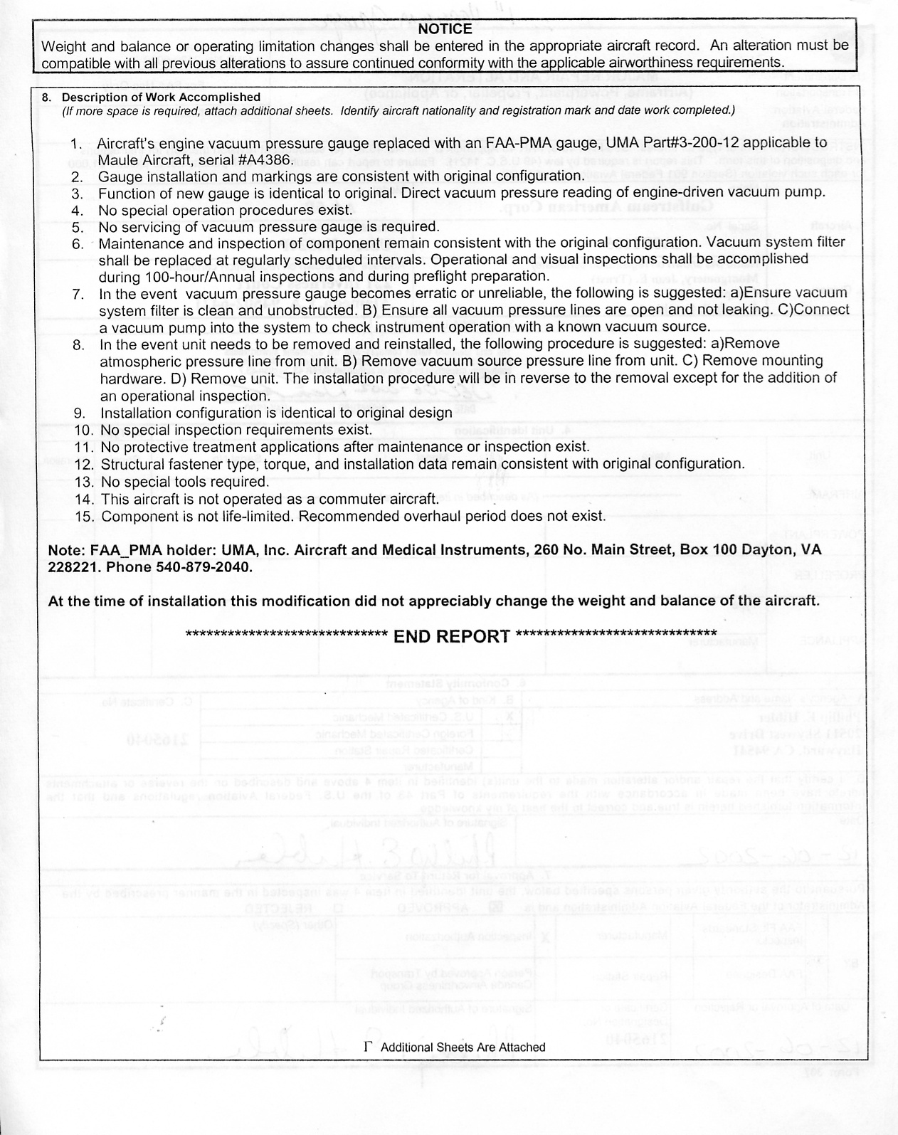
UMA 1-inch Vacuum Gauge
Page 1
,
Page 2
.